我公司自1992年开始,一直为“国家内燃机发电机组质量监督检查中心”检验合格的柴油发电机组制造厂商。公司拥有先进的检测设备、精湛的生产工艺、专业的制造设计、完善的质量管理体系、 雄厚的研发实力,服务网络遍布全国各地,随时为您提供设计、供应、调试、维修一条龙服务!
24小时销售热线:13878198542
24小时服务热线:13878801642
上篇已为大家介绍了柴油发电机组零件修复技术中的机械加工中的局部更换法、换位法、镶套法的使用技巧,下面由发电机厂家——江苏星光发电设备有限公司继续为大家介绍柴油发电机组金属扣合法的修复技巧。
金属扣合法是利用高强度合金材料制成的特殊连接件以机械方式将损坏的机件重新牢牢地连接成一体,达到修复目的的工艺方法。主要适用于大型铸件裂纹或折断部位的修复。按照扣合的性质及特点,可分为强固扣合、强密扣合、优级扣合和热扣合四种工艺。
一、强固扣合法
该法适用于修复壁厚为8~40mm的一般强度要求的薄壁机件。其工艺过程是,先在直于机件的裂纹或折断面的方向上,加工出具有一定形状和尺寸的波形槽,然后把形状与形槽相吻合的高强度合金波形键镶入槽中,并在常温下铆击,使波形键产生塑性变形充满腔,这样波形键的凸缘与波形槽的凹部相互扣合,使损坏的两面重斯牢同地连接成一体。
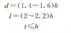
波形键设计和制作时,通常将波形键(图2-18)的凸缘直径d、宽度b)、间距l(波形槽间距t)规定成标准尺寸,根据机件受力大小和铸件壁厚决定波形键的凸缘个数、每个断裂部位安装波形键数和波形槽间距等。一般取b为3~6mm,其他尺寸可按下列经验公式计算:
通常选用的波形键凸缘个数为5、7、9个。一般波形键材料常采用lCr18Ni9或1Cr18Ni9Ti奥氏体镍铬钢。对于高温工作的波形键,可采用热膨胀系数与机件材料相同或相近的Ni36或Ni42等高镍合金钢制造。
二、强密扣合法
应用强固扣合法可保证一定强度条件,而对于有密封要求的机件,如承受高压的气缸,应采用强密扣合法,如图2-19所示。它是在强固扣合法的基础上,在两波形键之间、裂纹或折断面的结合线上,加工缀缝栓孔,并使第二次钻的缀缝栓孔稍微切入已装好的波形键和缀缝栓,形成一条密封的“金属纽带”以达到阻止流体受压渗漏的目的。缀缝栓可用直径为∮5~8mm的低碳钢或纯铜等软质材料制造,这样便于铆紧。缀缝栓与机件的连接与波形键相同。
三、优级扣合法
主要用于修复在工作过程中要求承受高载荷的厚壁机件。为了使载荷分布到更多的面积和远离裂纹或折断处,须在垂直于裂纹或折断面的方向上镶入钢制的砖形加强件,用缀缝栓连接,有时还用波形键加强,如图2-20所示。加强件可根据需要设计成十字形、楔形、矩形和X形等。
四、热扣合法
它是利用加热的扣合件在冷却过程中产生收缩而将开裂的机件锁紧。该法适用于修复大型飞轮、齿轮和重型设备机身的裂纹及折断面。如图2-21所示,圆环状扣合件适用于修复轮廓部分的损坏,工字形扣合件适用于机件壁部的裂纹或断裂。
金属扣合法的优点是:使修复的机件具有足够的强度和良好的密封性;所需设备、工具简单,可现场施工;修理过程中机件不会产生热变形和热应力等。其缺点主要是薄壁铸造件(<8mm)不宜采用;波形键与波形槽的制作加工较麻烦等。
以上是由江苏星光发电设备有限公司为大家分享的柴油发电机组金属扣合法的修复技巧,希望对大家有帮助。我公司创始于1974年,是专业的发电机,柴油发电机组生产厂商,是国内生产发电机,柴油发电机组较早的厂家之一。我司拥有一流的检查设备,先进的生产工艺,专业的制造技术,欢迎大家前来参观,洽谈电话:13878198542
